(1) ๊ฐ์
์ปดํจํฐ ์์คํ ์ ํ์ ๋ ์์ ์์(resource)์ผ๋ก ๊ตฌ์ฑ๋๋ค.
โ ๊ต์ฐฉ์ํ ์ ์
- ์ด๋ค ํ๋ก์ธ์ค๊ฐ ์ํํ๋ ค๊ณ ํน์ ํ ์์์ ์ํ์ฌ ๋ฌดํ์ ๊ธฐ๋ค๋ ค๋ ๋์ ํ ํด๊ฒฐํ ์ ์๋ ์ํ์ด๋ค.
- ํ๋ ๋๋ ๊ทธ ์ด์์ ํ๋ก์ธ์ค๊ฐ ๋ฐ์๋์ง ์๋ ์ด๋ค ํน์ ํ ์ฌ๊ฑด(event)์ ๊ธฐ๋ค๋ฆฌ๊ณ ์๋ ์ํ์ด๋ค.
- ๊ต์ฐฉ์ํ๋ ์ปดํจํฐ ์์คํ ์ ํจ์จ์ ๊ธ๊ฒฉํ ๊ฐ์์ํค๋ ๋ฌธ์ ์ ์ด ์๋ค.
โ ๊ต์ฐฉ์ํ ๋ชจ๋ธ
๊ต์ฐฉ์ํ ์์
์๋ก ๊ฐ์ ๋ฐ๋๋ฐฉํฅ์ผ๋ก ํฅํ๋ ๋ ์ฌ๋์ด ์ง๊ฒ๋ค๋ฆฌ๋ฅผ ๊ฑด๋๋ฉด์ ๊ฐ์ ๋์ ๋๋๋ ค ํ ๋ ๋ฐ์ํ๋ ๋ฌธ์ ๊ฐ ๋ฐ์ํ๋๋ฐ ์ด๋ฅผ ๊ต์ฐฉ์ํ๋ผ๊ณ ํ๋ค.
ํด๊ฒฐ๋ฐฉ๋ฒ : ํ๋กํ ์ฝ(๊ท์ฝ)์ ์ด์ฉํ์ฌ ํด๊ฒฐํด์ผ ํ๋ค.
- ๋ฐ๋ํธ์์ ๊ฐ์ ๊ฑด๋๋ ์ฌ๋์ ์ ๋ฌด๋ฅผ ํ์ธํด์ผ ํ๋ค.
- ๋ ์ฌ๋์ด ๋์์ ์ถ๋ฐํด๋ ๊ต์ฐฉ์ํ๊ฐ ๋ฐ์ํ๊ณ , ๋ ์ฌ๋์ด ๋ชจ๋ ๊ธฐ๋ค๋ ค๋ ๊ต์ฐฉ์ํ๊ฐ ๋ฐ์ํ๋ค.
- ํ ์ชฝ์ ์ฐ์ ๊ถ์ ์ฃผ๋ฉด ํ๋ ์ด์์ ํ๋ก์ธ์ค๊ฐ ๊ฐ์ ๊ฑด๋๊ธฐ ์ํด ๋ฌด์์ ๊ธฐ๋ค๋ฆฌ๋ ๊ฒฝ์ฐ๊ฐ ๋ฐ์ํด starvation์ด ์ผ์ด๋ ์ ์๋ค.
์ ์์ ์ธ ํ๋ก์ธ์ค์ ์์คํ ์์(CPU์ฌ์ดํด, ๋ฉ๋ชจ๋ฆฌ ๊ณต๊ฐ, ํ์ผ, ์ ์ถ๋ ฅ ์ฅ์น etc.) ์ด์ฉ ์์
- Request(์์ฒญ) : ๋ค๋ฅธ ํ๋ก์ธ์ค์ ์ํ์ฌ ์์์ด ์ฌ์ฉ์ค์ผ ๋, ์์ฒญํ ์์์ ์ป์ ์ ์์ ๋๊น์ง ๊ธฐ๋ค๋ ค์ผ ํ๋ค.
- Use(์ฌ์ฉ) : ํ๋ก์ธ์ค๊ฐ ์๊ธฐ๊ฐ ์์ฒญํ์ฌ ์ป์ ์์์ ์๋ํ ์ ์๋ค.
- Release(ํด์ ) : ํ๋ก์ธ์ค๋ ํด๋น ์์์ด ๋ฏธ๋ฆฌ ์๊ตฌ๋์ด ์๊ฑฐ๋ ํ ๋น๋์ด ์์ผ๋ฉด, ๊ทธ ์์์ ์ฌ์ฉํ ํ์ ๋๋ ค์ฃผ์ด์ผ ํ๋ค.

์์คํ ์์์ ๋ํ์ฌ ๊ต์ฐฉ์ํ ๋ฐ์ ๊ฐ๋ฅ์ฑ์ ํ์ธํ๋ค.
ํํ ๋๊ธฐ(Circular wait)๊ฐ ์กด์ฌํ๋ฉด ๊ต์ฐฉ์ํ๊ฐ ๋ฐ์ํ ๊ฐ๋ฅ์ฑ์ด ์๋ค.
โค Indefinite postponement (๋ฌด๊ธฐํ ์ฐ๊ธฐ)
- ๊ต์ฐฉ์ํ์ ์ ์ฌํ๋ ๊ต์ฐฉ์ํ๋ ์๋๋ค.
- ํ ํ๋ก์ธ์ค๊ฐ ์์คํ ์ ์ํด ์ฒ๋ฆฌ๋๋ ๋์ ๋ค๋ฅธ ํ๋ก์ธ์ค์ ์ค์ผ์ค๋ง์ด ๋์์ด ์ฐ๊ธฐ๋ ๊ฐ๋ฅ์ฑ์ ๋งํ๋ค.
- ์ฐ์ ์์๊ฐ ๋ฎ์ ํ๋ก์ธ์ค๊ฐ ๋ฌดํ์ ๊ธฐ๋ค๋ฆฌ๋ ํ์์ ๋งํ๋ค.
- Aging๊ธฐ๋ฒ์ผ๋ก ํด๊ฒฐํ๋ค. (๊ต์ฐฉ์ํ๋ Aging๊ธฐ๋ฒ์ผ๋ก ์ ๋ ํด๊ฒฐ์ด ๋์ง ์๋๋ค)

โค ๊ต์ฐฉ์ํ ์กฐ๊ฑด
4๊ฐ์ง ์กฐ๊ฑด์ ๋์์ ํ์ ์ถฉ๋ถ์กฐ๊ฑด์ผ๋ก ๋ง์กฑํด์ผ ๊ต์ฐฉ์ํ๊ฐ ๋ฐ์ํ๋ค. ์ต์ ํ ๊ฐ์ง ์กฐ๊ฑด์ ์ ๊ฑฐํ๋ฉด ๊ต์ฐฉ์ํ ๋ฐ์์ ์๋ฐฉํ ์ ์๋ค.
1. Mutual Exclusion(์ํธ ๋ฐฐ์ ) ์กฐ๊ฑด : ํ๋ก์ธ์ค๋ค์ด ์์์ ๋ฐฐํ์ ์ผ๋ก ์ฌ์ฉํ๊ณ ์์
2. Hold and Wait(์ ์ ์ ๋๊ธฐ) ์กฐ๊ฑด : ํ๋ก์ธ์ค๊ฐ ์ ์ด๋ ํ๋์ ์์์ ์ ์ ํ๋ฉด์, ๋ค๋ฅธ ํ๋ก์ธ์ค์ ์ํด ์ ์ ๋ ๋ค๋ฅธ ์์์ ์๊ตฌํ๊ณ ํ ๋น ๋ฐ๊ธฐ๋ฅผ ์๊ตฌ
3. No preemption(๋น์ ์ ) ์กฐ๊ฑด : ํ๋ก์ธ์ค๊ฐ ์์ ์ ์์
์ํ์ด ๋๋ ๋๊น์ง ํด๋น ์์์ ๋ฐํํ์ง ์์
4. Circular Wait(ํํ ๋๊ธฐ) ์กฐ๊ฑด : ํ๋ก์ธ์ค๋ค ๊ฐ์ ํํ ๋๊ธฐ๊ฐ ์กด์ฌ
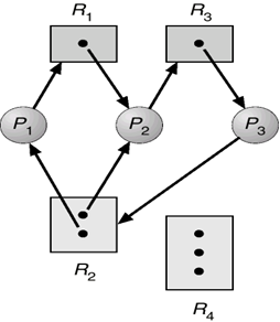
โค ์์ ํ ๋น ๊ทธ๋ํ

์์ 1
- ํ๋ก์ธ์ค P1์ ์์ ํํ R2 ํ ๊ฐ๋ฅผ ์ ์ ํ๊ณ , ์์ ํํ R1 ํ ๊ฐ๋ฅผ ๊ธฐ๋ค๋ฆฌ๋ฉฐ ๋๊ธฐํจ
- ํ๋ก์ธ์ค P2 ๋ R1๊ณผ R2๋ฅผ ๊ฐ๊ฐ ํ ๊ฐ์ฉ ์ ์ ํ๊ณ , ์์ํํ R3 ํ ๊ฐ๋ฅผ ๋๊ธฐํจ
- ํ๋ก์ธ์ค P3๋ R3 ํ ๊ฐ๋ฅผ ์ ์ ํจ
- ๊ทธ๋ํ์ ์ํ(cycle)์ด ์กด์ฌํ์ง ์์ผ๋ฉด, ์์คํ ๋ด ์ด๋ ํ๋ก์ธ์ค๋ ๊ต์ฐฉ์ํ๊ฐ ์๋ ๋ฐ๋ฉด, - ๊ทธ๋ํ์ ์ํ์ด ์กด์ฌํ๋ฉด ๊ต์ฐฉ์ํ๊ฐ ๋ ๊ฐ๋ฅ์ฑ์ด ์์

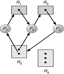
์์ 2
- ๊ทธ๋ํ์์ ์ต์ํ 2๊ฐ์ ์ํ์ด ์์คํ
๋ด์ ์กด์ฌํ๊ณ ์์
o P1→R1→P2 →R3 →P3 →R2 →P1
o P2→R3 →P3 →R2 →P2 - ์ด๋ป๊ฒ ํด๋ ์ํ์ ์ ๊ฑฐํ ์ ์์
- ๊ฒฐ๋ก ์ ์ผ๋ก, ํ๋ก์ธ์ค P1, P2, P3๋ ๊ต์ฐฉ ์ํ์ ์์

์์ 3
- ๊ทธ๋ํ๋ ๋ค์๊ณผ ๊ฐ์ ์ํ์ ๊ฐ์ง
o P1→R1→P3→R2→P1 - ํ๋ก์ธ์ค P4๊ฐ ์์ํํ R2๋ฅผ ํด์ ํ ์ ์์. ์ฆ, R2๊ฐ P4์๊ฒ์ ํด์ ๋ ํ, ์ด ์์์ด P3์ - ํ ๋น๋๋ฉด, ์ํ์ด ์์ด์ง
- ๊ฒฐ๋ก ์ ์ผ๋ก, ํ๋ก์ธ์ค P1, P2, P3, P4๋ ๊ต์ฐฉ์ํ๊ฐ ์๋

โค ๊ต์ฐฉ์ํ ํด๊ฒฐ ๋ฐฉ๋ฒ
- ๊ต์ฐฉ์ํ ์๋ฐฉ (Deadlock Prevention) : ๊ต์ฐฉ์ํ๊ฐ ์์ ๋ฐ์ํ์ง ์๋๋ก ํ๋ ๊ฒ
- ๊ต์ฐฉ์ํ ํํผ (Deadlock Avoidance) : ํ ๋นํ๊ธฐ ์ ์ ๊ต์ฐฉ์ํ ๋ฐ์ ์ ๋ฌด๋ฅผ ์ฒดํฌํ๋ ๊ฒ
- ๊ต์ฐฉ์ํ ํ์ง (Deadlock Detection) : ์์ ํ ๋น ํ์ ์ฃผ๊ธฐ์ ์ผ๋ก ๊ฒ์ฌํ๋ ๊ฒ
- ๊ต์ฐฉ์ํ ํ๋ณต (Deadlock Recovery) : ํ์ง ํ์ ๊ต์ฐฉ์ํ๊ฐ ๋ฐ์ํ์ ๋ ํ๋ณตํ๋ ๊ฒ
(2) Deadlock Prevention (๊ต์ฐฉ์ํ ์๋ฐฉ)
- Havender๊ฐ ์ ์ํ ๊ฒ์ผ๋ก ๊ต์ฐฉ์ํ ์กฐ๊ฑด ๋ฐ ๊ต์ฐฉ์ํ ๋ฐ์ ๊ฐ๋ฅ์ฑ์ ์ฌ์ ์ ์ ๊ฑฐํ๋ค.
- ์ํธ ๋ฐฐ์ ์กฐ๊ฑด์ ์ ์ธํ๋ค. ์ํธ ๋ฐฐ์ ๋ฅผ ์์ ๋ฉด ๊ต์ฐฉ ์ํ๊ฐ ์ ๋ ๋ฐ์ํ์ง ์์ผ๋, ์๊ณ ๊ตฌ์ญ์์์ ํ๋ก์ธ๋ค ๊ฐ์ ๋ฌธ์ ๊ฐ ๋ฐ์ํ๋ค.
1. ์ ์ ์ ๋๊ธฐ์กฐ๊ฑด ์ ๊ฑฐ
๋ฐฉ๋ฒ
- ๊ฐ ํ๋ก์ธ์ค๋ ํ์ํ ์์๋ค์ ๋ชจ๋ ํ๊บผ๋ฒ์ ์ ์ฒญํ๋ค.
- ์๊ตฌํ ์์์ ์ ๋ถ ํ ๋นํ์ฌ ์ฃผ๊ฑฐ๋ ๋๋ ํ๋๋ผ๋ ๋ถ์กฑํ๋ฉด ์ ํ ํ ๋นํ์ง ์๋ ๋ฐฉ์์ด๋ค.
๋จ์
- ํ๊บผ๋ฒ์ ์ํ๋ ์์์ ์ ๊ณตํ ์ ์์ ๊ฒฝ์ฐ์๋ ๋ฌดํ ์ฐ๊ธฐ์ ์ํ์ด ๋ฐ์ํ๋ค.
- ๋ง์ ์์์ด ํ๊บผ๋ฒ์ ํ ๋น๋ ๋๊น์ง ๊ธฐ๋ค๋ฆฌ๊ธฐ ๋๋ฌธ์ ์ค๊ฐ์ ์์์ ์ฌ์ฉํ ์ ์๋ ์์ ๋ญ๋น์ ์ํ์ด ๋ฐ์ํ๋ค.
2. ๋น ์ ์ ์กฐ๊ฑด ์ ๊ฑฐ
- ๋ฐฉ๋ฒ - ์ถ๊ฐ ์์์ ๋ํ ์๊ตฌ๊ฐ ๊ฑฐ์ ๋นํ๋ค๋ฉด ๊ทธ ํ๋ก์ธ์ค๋ ์์์ ์ ๋ถ ๋ฐ๋ฉํ๋ค.
- ๋จ์ - ๋ฌดํ ์ฐ๊ธฐ๊ฐ ๋ฐ์ํ ๊ฐ๋ฅ์ฑ์ด ๋๋ค.
3. ํํ ๋๊ธฐ์กฐ๊ฑด ์ ๊ฑฐ
๋ฐฉ๋ฒ
- ๋ชจ๋ ์์์๊ฒ ๊ณ ์ ๋ฒํธ๋ฅผ ๋ถ์ฌํ๋ค.
- ํ์ฌ ๊ฐ์ง๊ณ ์๋ ์์๋ณด๋ค ๋ ํฐ ๋ฒํธ๋ฅผ ๊ฐ์ง ์์๋ง์ ์์ฒญํ๋๋ก ์ ํํ๋ ๋ฐฉ๋ฒ์ด๋ค.
- ํ๋ก์ธ์ค๋ค์ด ์์์ ์์ฒญํ ๋ ๋ฒํธ๊ฐ ์ฆ๊ฐํ๋ ์์ผ๋ก ์์ฒญํ๋ค.
๋จ์
- ์์ ๋ฒํธ ๋ถ์ฌ ์์ ์์์ ์ฌ์ฉํ๋ ์์๋ฅผ ๋ฐ์ํ ์ ์์ด์ผ ํ๋, ์์ํ ์์์ ๋ค๋ฅด๊ฒ ์์์ ์๊ตฌํ๋ ์์ ๋ค์ ์ค์ ๋ก ์์์ ์ฌ์ฉํ๊ธฐ ํจ์ฌ ์ ๋ถํฐ ์์์ ์๊ตฌํ๊ณ ์ ์ ํ๊ณ ์์ด์ผ ํ๋ค.
- ์๋ก์ด ์์์ด ์์คํ ์ ์ถ๊ฐ๋๋ฉด ์์ ๋ฒํธ๋ฅผ ๋ค์ ์์ฑํด์ผ ํ๋ค.
(3) Deadlock Avoidance (๊ต์ฐฉ์ํ ํํผ)
- ์์์ ํ ๋นํ ๋ ๋ค๋ฅธ ํ๋ก์ธ์ค์ ์์ํ ๋น์ ์ฐธ์กฐํ์ฌ ๊ต์ฐฉ์ํ๊ฐ ๋ฐ์ํ๋์ง๋ฅผ ๋ฏธ๋ฆฌ ๊ฒ์ฌํ์ฌ, ๊ต์ฐฉ์ํ๊ฐ ๋ฐ์ํ ๊ฒ ๊ฐ์ผ๋ฉด ํ ๋นํ์ง ์๋๋ก ํ๋ ๋ฐฉ๋ฒ์ด๋ค.
- ์์) ๊ต์ฐจ๋ก์์ ๊ผฌ๋ฆฌ๋ฌผ๊ธฐ ์ง์ ์ ๋ฏธ๋ฆฌ ๋จ์
- *์์ ์ํ ์ฒดํฌ ์๊ณ ๋ฆฌ์ฆ(์์ ์์ฒญ ์๊ณ ๋ฆฌ์ฆ)์ธ ์ํ๊ฐ ์๊ณ ๋ฆฌ์ฆ์ ์ด์ฉํ๋ค.
- ์ํ๊ฐ ์๊ณ ๋ฆฌ์ฆ์ ๊ฒฐ๊ณผ๊ฐ ๋ถ์์ ์ํ์ด๋ฉด ๊ต์ฐฉ์ํ ๊ฐ๋ฅ์ฑ์ด ์์ผ๋ฉฐ, ์์ ์ํ๋ฉด ๊ฐ๋ฅ์ฑ์ด ์๋ค.
*Safety State Check Algorithm : ์์คํ ์ด ์์ ์ํ์ธ์ง ์ฒดํฌํ๊ธฐ ์ํ ์๊ณ ๋ฆฌ์ฆ์ด๋ค.
*Safety State : ๋ชจ๋ ํ๋ก์ธ์ค๋ค์ด ๊ต์ฐฉ ์ํ๋ฅผ ์ผ์ผํค์ง ์์ผ๋ฉด์ ์ํ์ ๋๋ผ ์ ์๋ ์์๊ฐ ์ต์ํ ํ๋ ์ด์ ์กด์ฌํ ๋์ ์ํ๋ค.

์ํ๊ฐ ์๊ณ ๋ฆฌ์ฆ : ์์คํ ์ด ์์ ์ํ์ธ์ง๋ฅผ ์ฒดํฌํ ํ, ์์์ ํ ๋นํ๋ ์๊ณ ๋ฆฌ์ฆ
์ํ๊ฐ ์๊ณ ๋ฆฌ์ฆ ๋จ์
- ์ฌ์ฉ ๊ฐ๋ฅํ ์์์ ์๋ฅผ ๋ฏธ๋ฆฌ ํ์ ํ๊ธฐ ์ด๋ ต๋ค.
- ๋จ์ ์๋ ํ๋ก์ธ์ค์ ์๊ฐ ์์๋ก ๋ณ๊ฒฝ๋๋ ์ด๋ ค์์ด ์๋ค.
- ๋ชจ๋ ์์ฒญ์ ๋ํ์ฌ ์ฃผ์ด์ง ์๊ฐ ๋ด์ ์์์ ํ ๋นํ ์ ์๋๋ก ๋์ฑ ๊ฐ๋ ฅํ ๋ณด์ฅ์ด ํ์ํ๋ค.
- ์ฌ์ ์ ๊ฐ ํ๋ก์ธ์ค๊ฐ ํ์ํ ์์์ ์ต๋๋์ ์ ์ํด์ผ ํ๋, ํ์ฌ OS์์๋ ๊ฐ ํ๋ก์ธ์ค์ ์ต๋ ์๊ตฌ๋์ ํ์ ํ๊ธฐ ์ด๋ ต๋ค.
(4) Deadlock Detection (๊ต์ฐฉ์ํ ๊ฐ์ง)
- ์์คํ ์ ์ํ๋ฅผ ๊ฒ์ฌํ๋ ์๊ณ ๋ฆฌ์ฆ์ผ๋ก ์ฃผ๊ธฐ์ ์ผ๋ก ๊ต์ฐฉ ์ํ๋ฅผ ์ฐพ์๋ธ๋ค.
- ๋ง์ผ ๊ต์ฐฉ ์ํ๊ฐ ํ์ง๋๋ฉด ์์คํ ์ ์ด ๊ต์ฐฉ ์ํ๋ก๋ถํฐ ํ๋ณต๊ณผ์ ์ด ์ํ๋์ด์ผ ํ๋ค.
- ํ๋ก์ธ์ค์ ํ ๋น๋ ์์์ ๊ดํ ์ ๋ณด๋ฟ๋ง ์๋๋ผ ์์ ํ ๋น ์์ฒญ์ ๋ํ ์ ๋ณด๋ ์ ์ง๋์ด์ผ ํ๋ค.
- ์์คํ ์ด ๊ต์ฐฉ ์ํ์ ์๋์ง, ์๋์ง๋ฅผ ์์๋ด๊ธฐ ์ํด ํ์ง ์๊ณ ๋ฆฌ์ฆ์ธ ์ํ๊ฐ ์๊ณ ๋ฆฌ์ฆ์ด ํ์ํ๋ค.
(5) Deadlock Recovery (๊ต์ฐฉ์ํ ํ๋ณต)
- ํ๋ก์ธ์ค๋ค์ ์์์ ์๊ตฌ์ ํ ๋น์ ๋ํด ์ํ ์ํ(ํํ ๋๊ธฐ)๊ฐ ๋ฐ์ํ๋ฉด ์ํ ์ํ๊ฐ ์์ด์ง ๋๊น์ง ํ๋ก์ธ์ค๋ฅผ ์์ค๋ค.
- ํน์ ์๊ณ ๋ฆฌ์ฆ์ ์๋ค.
๋ฌธ์ ์
- ์์คํ ์ด ๊ต์ฐฉ ์ํ์ธ์ง๋ฅผ ํ์ ํ๊ธฐ ์ด๋ ต๋ค.
- ๋๋ถ๋ถ์ ์์คํ ์ ํ๋ก์ธ์ค๋ฅผ ๋ฌด๊ธฐํ ์ ์ง์ํค๊ณ ์ผ๋ถ ํ๋ก์ธ์ค๋ฅผ ์ ๊ฑฐํ ํ ๋ค์ ์งํ์ํค๋ ๊ธฐ๋ฅ์ด ๊ฑฐ์ ์๊ณ , ํนํ ์ค์๊ฐ ํ๋ก์ธ์ค์ ๊ฐ์ ๋ฌด ์ค๋จ ์์คํ ๋ค์ ์ด๋ฌํ ๊ธฐ๋ฅ์ด ์๋ค.
- ํจ์จ์ ์ธ ์ค์ง/์ฌ๊ฐ(suspend/resume) ๊ธฐ๋ฅ์ด ์๋ค๊ณ ํ๋๋ผ๋ ์๋นํ ์ถ๊ฐ ๋ถ๋ด์ด ํ์ํ๊ณ ์๋ จ๋ operator๊ฐ ํ์ํ๋ค.
- ๊ต์ฐฉ ์ํ์ ์๋ ํ๋ก์ธ์ค๋ค์ ์ฐ์ ์์๊ฐ ์์ผ๋ฉฐ, operator๊ฐ ์์๋ก ์ค๋จ์ํฌ ํ๋ก์ธ์ค๋ฅผ ๊ฒฐ์ ํด์ผ ํ๋ค.
โค ๊ต์ฐฉ ์ํ ํ๋ณต ๋ฐฉ๋ฒ
- ๊ต์ฐฉ ์ํ์ ์๋ ํ ๊ฐ ๋๋ ๊ทธ ์ด์์ ํ๋ก์ธ์ค๋ฅผ ํฌ์์์ผ ๋ณด์ ์์์ ์ ์ ์ ์ด์ฉํ๋ค.
- Victim ์ ์ , Rollback ์์ , Starvation์ ๊ณ ๋ คํด์ผ ํ๋ค.
Victim ์ ์
- ์ด๋ ํ๋ก์ธ์ค๋ฅผ ํฌ์์ํฌ ๊ฒ์ธ๊ฐ์ ์ ์ ํ๋ค.
- ์ ์ ๊ธฐ์ค
- ํ๋ก์ธ์ค๋ค์ ์ฐ์ ์์๋ฅผ ๊ณ ๋ คํด์ผ ํ๋ค.
- ํ๋ก์ธ์ค๊ฐ ์ผ๋ง๋ ์ค๋ซ๋์ ์ฐ์ฐํ์๊ณ , ๋ ์ผ์ ์๋ฃํ๊ธฐ ์ํด์ ์์ผ๋ก ์ผ๋ง๋งํผ์ ์๊ฐ์ด ์๊ตฌ๋๋๊ฐ?
- ํ๋ก์ธ์ค๊ฐ ์ด๋ค ์ ํ์ ์์๊ณผ ๋ช ๊ฐ์ ์์๋ค์ ์ฌ์ฉํ๊ณ ์๋๊ฐ?
- ๋ช ๊ฐ์ ํ๋ก์ธ์ค๋ฅผ ํฌ์์ํฌ ๊ฒ์ธ๊ฐ?
Rollback ๋ฌธ์
- ์ด๋ ์ ๋์ ์๊ฐ(๋ฒ์)๋ฅผ ๊ฐ์ง๊ณ ๋ณต๊ท์์ผ์ผ ํ๋๊ฐ ํ๋ ๊ธฐ๊ฐ์ ๊ฒฐ์ ๋ฌธ์ ๋ฅผ ๋งํ๋ค.
- ๋ณต๊ท ๋ฐฉ๋ฒ
- ํ๋ก์ธ์ค๋ฅผ ์์ ํ ์ทจ์ํ ํ ์ฒ์๋ถํฐ ๋ค์ ์์ํ๋ ๋ฐฉ๋ฒ์ด ์๋ค.
- ํ๋ก์ธ์ค๋ฅผ ์ต์ํ์ ์๊ฐ ๋ฒ์ ์์์ ์ฌ๊ท์ํค๋ ๋ฐฉ๋ฒ์ด ์๋ค.
Starvation ๋ฌธ์
- ๋ฐ๋ณต์ ์ผ๋ก ํฌ์์๋ก ์ ์ ๋ ์ ์๋ ๊ฐ๋ฅ์ฑ์ ์์ ์ผ ํ๋ค.
- ๊ธฐ๊ทผ ํด๊ฒฐ ๋ฐฉ๋ฒ
- ํฌ์์๋ก ์ ์ ๋๋ ๋ฐ๋ณต ํ์์ ์ํ์ ์ ์ ํ์ฌ ๋ ์ด์ ํฌ์์๊ฐ ๋ ์ ์๋๋ก ํ๋ ๋ฐฉ๋ฒ์ด๋ค.
'๐ CS & Infra > Operating System' ์นดํ ๊ณ ๋ฆฌ์ ๋ค๋ฅธ ๊ธ
| [OS] 10. ๋ค์ค ์ฒ๋ฆฌ ์์คํ (0) | 2023.10.16 |
|---|---|
| [OS] 09. ์ ๋ณด ๋ณดํธ ๋ฐ ๋ณด์ (0) | 2023.10.16 |
| [OS] 07. ํ๋ก์ธ์ค ๊ฐ ๋๊ธฐํ ๋ฐ ํต์ (0) | 2023.10.16 |
| [OS] 06. ํ์ผ ์์คํ (0) | 2023.10.16 |
| [OS] 05. ๋์คํฌ ์ค์ผ์ค๋ง (0) | 2023.10.16 |